핵융합자료실
전체 312건 현재페이지 9/35
-
동영상Plasma fluid theory(MHD) - Prof. Ben Dudson. 17a dissipation#NuclearFusion #Plasma #MHD -
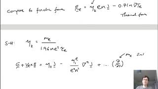
동영상Plasma fluid theory(MHD) - Prof. Ben Dudson. 17b resistivity#NuclearFusion #Plasma #MHD -
동영상Plasma fluid theory(MHD) - Prof. Ben Dudson. 17c ion viscosity#NuclearFusion #Plasma #MHD -
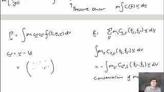
동영상Plasma fluid theory(MHD) - Prof. Ben Dudson. 17d electron viscosity#NuclearFusion #Plasma #MHD -
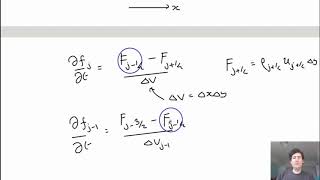
동영상Plasma fluid theory(MHD) - Prof. Ben Dudson. 18a numerical methods#NuclearFusion #Plasma #MHD -
동영상Plasma fluid theory(MHD) - Prof. Ben Dudson. 18b conservation#NuclearFusion #Plasma #MHD -
동영상Plasma fluid theory(MHD) - Prof. Ben Dudson. 18c div b#NuclearFusion #Plasma #MHD -
동영상Plasma fluid theory(MHD) - Prof. Ben Dudson. 18d staggered schemes#NuclearFusion #Plasma #MHD -
동영상Plasma fluid theory(MHD) - Prof. Ben Dudson. 19a two fluid equations#NuclearFusion #Plasma #MHD
